目前我公司生產的機組式印刷機的收卷錐度張力主要是以線性遞減為主。線性張力錐度控制在原理上比較穩定,張力的值隨收卷直徑的增大而減小,對于一些正常工藝的印制品來說,這種錐度控制方法完全可以滿足印品要求,但是對于一些特殊工藝要求的印制品,用線性的這種張力錐度控制還是有些不足,比如會出現卷心皺等問題。為了進一步細化和優化收卷張力錐度控制的算法,我們在保留優化線性錐度控制的基礎上提出了另一種錐度控制算法:非線性錐度控制。
非線性包括凸曲線和凹曲線兩種曲線,這樣我們的張力控制可以實現凸曲線、凹曲線和線性三種控制方式,用戶可以根據印制品的工藝要求在人機界面上選擇最合適的錐度控制曲線。這樣對用戶來說實現了控制的最優化,節省成本,降低廢品率;對我們的設備也是一個品質的提升,在一定程度上可以提高我們產品在市場上的競爭力。
一、基本算法
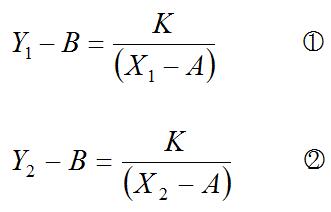
我們選擇了反比例函數Y=K/X,Y=K/X是在X軸方向無限接近X軸,在Y軸方向無限接近于Y軸的雙曲線作為控制算法的數學依據,其中Y作為當前錐度張力;X作為收卷當前直徑;K為曲線的曲率系數。將曲線在x軸方向平移A個單位,在y軸上平移B個單位可得曲線 (Y-B) = K/(X-A)。因為我們取的錐度張力值和卷徑值通常為正值,所以將Y=K/X平移以后選取第一象限的圖示,得到兩種曲線:
第一種是向X軸方向平移A1個單位,Y軸方向平移B1個單位的凸曲線,凸曲線在X軸方向無限接近X=A1,在Y軸方向無限接近于Y=B1;
第二種是向X軸方向平移A2個單位,Y軸方向平移B2個單位的凹曲線,凹曲線在X軸方向無限接近X=A2,在Y軸方向無限接近于Y=B2。

圖1? 反比例函數曲線平移圖
為了不改變常規的操作習慣,我們依然選擇輸入錐度起始直徑和起始張力F1(X1,Y1),錐度結束直徑和結束張力F2(X2,Y2),取兩點F1和F2在曲線(Y-B) = K/(X-A)上,那么根據已知點F1和F2可得方程組:

根據方程組得:( A1,B1),( A2,B2)
根據(A1,B1)和(A2,B2)的值可以得到兩種遞減曲線:

兩種曲線是無限延伸的,我們可以取其長而辟其短,對曲線做一限幅,當卷徑小于等于錐度初始卷徑X1時,取當前張力值為初始張力Y1;當卷徑大于等于錐度結束卷徑X2時取當前張力值為結束張力Y2;當卷徑處于X1和X2的區間內時選擇相應的曲線。即:

我們做了一個Excel的動態曲線示意圖,可以直接明了地看出隨著參考值的改變,張力隨卷徑的變化而變化的不同曲線圖,根據圖示,K值在10000~100000之間的時候,曲率比較適合我們的控制要求。
這里有一個選取了某一次的初始值為F1(150.0mm,70.0%),結束值為F2(650.0mm,25.0%)和K值為70000的三條錐度控制曲線示意圖,其中包括我們原有的線性控制線,圖中x軸代表收卷直徑,單位為mm;y軸代表當前張力,單位為‰。

圖2? 收料錐度控制曲線示意圖
二、控制原理
基本的電氣元器件:人機界面1塊,實驗階段主要以西門子MP277為主;西門子PLC? 1套; SMC電空變換器1個。
控制原理:人機界面設定參考數據包括:收料錐度起始直徑、收料錐度起始張力、收料錐度結束直徑、收料錐度結束張力、曲率系數K值(如果選擇直線運算方式的時候曲率系數K值可以不用填寫),并在人機界面選擇好錐度運算曲線(曲線的選取有三種:選用第一種為凸曲線;選用第二種為直線;選用第三種為凹曲線)。
S7-300PLC根據人機界面給定的參考數據和曲線類型,按照相應的算法計算出當前卷徑下的張力數值,將這個張力值按照0.1%的精度傳送至人機界面顯示,并將該張力值通過模擬量輸出模塊,以4~20mA的形式輸出給電空變換器,電空變換器控制收卷擺輥氣缸的氣壓給定,實現收卷的錐度控制。

圖3 錐度張力控制示意圖
三、實現效果
在人機界面上設定錐度控制的相關參數,并選擇曲線形式,通過趨勢圖實現曲線的直觀顯示,并且直徑的變化在圖示上能夠清晰的表示出來,操作簡便、顯示直觀、人機交互型強。????
1、收卷線形錐度控制曲線和實際電控變換器的輸出曲線圖示


2、收卷凹曲線錐度控制曲線和實際電控變換器的輸出曲線圖示


3、收卷凸曲線錐度控制曲線和實際電控變換器的輸出曲線圖示


4、實際的人機界面顯示畫面

圖標顯示的三種張力錐度的控制預期和實際的實現效果是完全吻合的,充分證明非線性張力錐度控制是行之有效的。
四、意義
隨著社會的進步和科技的發展,用戶對設備的要求越來越精細和多樣化,這種非線性控制方式的多種選擇可以適應不同印品的工藝要求,并且人機界面上的曲線顯示和當前張力隨卷徑變化的動畫更顯得直觀明了。這不僅給用戶帶來方便和利益;對凹印設備的品質也是一大提升。